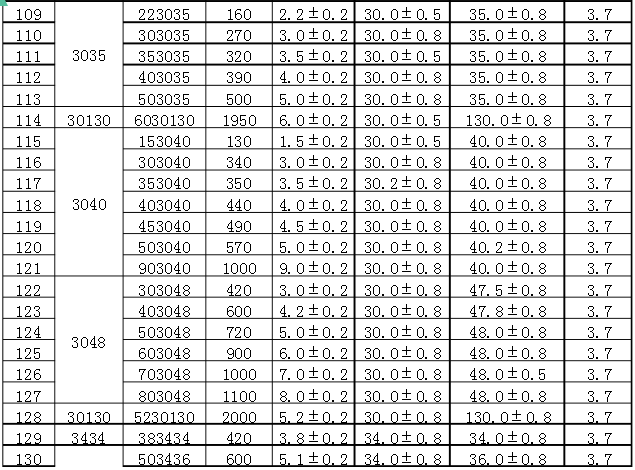
聚合物锂电池型号及容量表
发布人:Jay
发布时间:2019-06-17
浏览次数:24518
此锂电池型号表可用来查询常见锂电池型号容量,电池容量在锂电池行业通用算法为:
容量~长*烷*厚系数(0.1~0.12),此算法只能初步反应锂电池的容量,实际容量视具体产品而定。下面是目前比较常见的锂电池型号规格参数,仅供参考。







聚合物锂电池命名方法: CA+厚度+宽度+高度,如CA454061,电池的厚度约为4.5mm,宽度约为40mm,高度约为61mm。 聚合物锂离子电池能量密度计算方法: 能量密度=容量(mAh)*3.7(V)/(L*W*T)*1000 例如:CA605585 3400mah. 能量密度=3400mah*3.7/(6*55*85)*1000=448Wh/L
标签:
联系我们
相关文章
-

格瑞普五一官方活动|带上Tattu去玩,大奖顺手带回家!
2026-04-30 -

双奖临门,引领低空!格瑞普电池闪耀2026全国无人机界迎春团拜会
2026-01-09 -

2026 年锂电池全球出口与销售认证要点汇总
2025-12-10
相关产品
评论(0)
发表评论( 您的电子邮件地址不会被公开。必填字段已标记为 * )
*姓名
*邮箱
*网站
*验证码










